جهت ورود، لطفا شماره همراه خود را وارد کنید.
جهت ورود، لطفا شماره همراه خود را وارد کنید.
اگه یاد نگیری پولتو مدیریت کنی، پولت تو رو مدیریت میکنه.
خرید طلای بدون اجرت چندین مزیت داره که باعث میشه این انتخاب برای سرمایهگذاری جذاب باشه. اول از همه، با خرید این نوع طلا، شما دیگه نیازی به پرداخت هزینههای اضافی مثل اجرت ساخت و مالیات ندارین. یعنی کل بودجهتون صرف خرید طلا میشه و میتونین سرمایهگذاریتون رو بهتر مدیریت کنین. این یعنی بیشتر از ارزش واقعی طلا، هیچ هزینهای پرداخت نمیکنین.
علاوه بر این، طلای بدون اجرت به شما این امکان رو میده که روی طلاهای دست دوم و مستعمل سرمایهگذاری کنین که معمولاً قیمت کمتری دارن و به شما این فرصت رو میدن که با مبلغ کمتری طلا بخرین. این کار به ویژه برای کسانی که میخوان با بودجه محدود، وارد بازار طلا بشن، خیلی مناسب هست.
بنابراین، با خرید طلای بدون اجرت، شما میتونین با خیال راحت سرمایهگذاری کنین و از هزینههای اضافی دور بمونین. این یکی از بهترین انتخابها برای کسانی که میخوان در بازار طلا فعالیت کنن، به حساب میان. با ما همراه باشین تا در ادامه بیشتر درباره مزایای طلای بدون کارمزد و نحوه خریدش صحبت کنیم!
طلا همیشه یکی از گزینههای محبوب برای سرمایهگذاری و نگهداری ارزش در بازارهای مالی بوده. اما واقعا طلای بدون اجرت چیست؟ به طلایی که قیمت نهاییاش بدون محاسبه کارمزد مشخص میشه، طلای بدون اجرت میگن. به بیان دیگه، وقتی شما طلا بدون اجرت رو خریداری میکنین، دیگه نیازی به پرداخت هزینههای اضافی نیست و تمام بودجهتون صرف خرید خود طلا میشه.
اجرت طلا به هزینهای اطلاق میشه که برای ساخت و آمادهسازی طلا گرفته میشه. این هزینه میتونه شامل دستمزد طلاساز و هزینههای دیگه مثل مالیات و هزینههای اضافی باشه. اما در مورد طلای بدون اجرت، دیگه نیازی به پرداخت این هزینهها نیست و شما فقط برای وزن و عیار طلا هزینه میکنین. به عبارتی، این نوع طلا به شما این امکان رو میده که فقط بر اساس ارزش واقعی طلا سرمایهگذاری کنین.پ

خرید طلای بدون اجرت چندین مزیت داره که باعث میشه این انتخاب برای سرمایهگذاری جذاب باشه. اول از همه، با خرید طلا بدون اجرت، شما دیگه نیازی به پرداخت هزینههای اضافی مثل اجرت ساخت و مالیات ندارین. یعنی کل بودجهتون صرف خرید طلا میشه و میتونین سرمایهگذاریتون رو بهتر مدیریت کنین. این یعنی بیشتر از ارزش واقعی طلا، هیچ هزینهای پرداخت نمیکنین.
علاوه بر این، طلای بدون اجرت به شما این امکان رو میده که روی طلاهای دست دوم و مستعمل سرمایهگذاری کنین که معمولاً قیمت کمتری دارن و به شما این فرصت رو میدن که با مبلغ کمتری طلا بخرین. این کار به ویژه برای کسانی که میخوان با بودجه محدود، وارد بازار طلا بشن، خیلی مناسب هست.
حالا که میدونین چرا باید به سراغ خرید طلا بدون اجرت برین، بیاین ببینیم چطوری میتونین این کار رو انجام بدین. برای خرید طلا بدون اجرت یا با اجرت کم، این نکات رو در نظر بگیرین:

وقتی صحبت از طلا بدون اجرت و طلاهایی که اجرت دارن، میشه، چند نکته مهم وجود داره که باید بهش توجه کنین. اول از همه، طلا با اجرت به طلاهایی اطلاق میشه که هنگام خریدشون، هزینهای تحت عنوان اجرت ساخت به قیمت نهایی اضافه میشه. این هزینه معمولاً شامل دستمزد طلاساز و هزینههای مربوط به طراحی و ساخت طلا هست. یعنی وقتی شما این نوع طلا رو خریداری میکنین، علاوه بر ارزش واقعی طلا، باید هزینههای اضافی رو هم پرداخت کنین.
از طرف دیگه، طلای بدون اجرت همونطور که از اسمش پیداست، هیچ هزینه اضافی به قیمت نهاییش اضافه نمیشه. در واقع، وقتی شما خرید طلا بدون اجرت انجام میدین، فقط برای وزن و عیار طلا هزینه میپردازین و دیگه نیازی به نگرانی درباره هزینههای اضافی نیست.
حالا درباره طلای کم اجرت هم باید بگم که این نوع طلاها معمولاً دارای اجرت پایینتری هستن، اما با این حال، باز هم نسبت به طلای بدون اجرت هزینههایی رو شامل میشن. این اجرت ممکنه به خاطر نوع طراحی یا برند طلا متفاوت باشه. به طور کلی، اگر شما به دنبال خرید طلا هستین و میخواین هزینه کمتری بپردازین، بهتره به سمت طلای بدون اجرت برین، چون اینطوری میتونین بیشتر از پولتون بهره ببرین و هزینههای اضافی رو کنار بذارین.
برای محاسبه قیمت طلای بدون اجرت، اول از همه باید قیمت روز طلا رو بر اساس عیار آن (مثلاً ۱۸ عیار، ۲۴ عیار و ...) بدون احتساب کارمزد و اجرت ساخت محاسبه کنین. به طور کلی، قیمت طلا به دو عامل اصلی بستگی داره:
برای محاسبه قیمت نهایی طلای بدون اجرت، میتونین از فرمول زیر استفاده کنین:

به عنوان مثال، اگر قیمت جهانی طلا ۲۰۰۰ دلار به ازای هر اونس باشه و شما یک گردنبند ۱۰۰ گرمی با عیار ۱۸ بخرین:

برای محاسبه کارمزد طلا در زمان فروش، معمولاً فروشندگان یک درصد مشخصی از قیمت طلا رو به عنوان کارمزد فروشنده تعیین میکنن. این کارمزد میتونه بسته به نوع طلا، فروشنده و شرایط بازار متفاوت باشه.

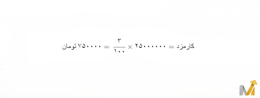
برای مثال، اگر شما یک طلا رو به قیمت ۲۵۰۰۰۰۰۰ تومان خریدین و فروشنده کارمزد ۳ درصد تعیین کرده، محاسبه کارمزد به صورت زیره:

بنابراین، در زمان فروش شما باید به این مقدار کارمزد رو به قیمت نهایی اضافه کنین تا ارزش واقعی طلا رو در زمان فروش بدونین.
به طور کلی، خرید طلا بدون اجرت به عنوان یک گزینه جذاب برای سرمایهگذاری مطرح میشه، اما همیشه به صرفهترین راه نیست. در واقع، شما ممکنه گزینههای بهتری هم پیدا کنین که هزینه کمتری داشته باشه و همچنان بتونه سود خوبی براتون به همراه بیاره. یکی از این گزینهها، خرید طلای مجازی یا آنلاین هست.
با مبلغی در حدود ۲،۳۰۰،۰۰۰ تومان، شما میتونین حدود ۱۰۰ گرم طلا به صورت آنلاین داشته باشین. این نوع خرید به شما این امکان رو میده که بدون نیاز به هزینههای اضافی مثل اجرت ساخت، مستقیماً از افزایش قیمت طلا سود ببرین. همچنین، خرید آنلاین طلا باعث میشه که شما بتونین به راحتی مدیریت بیشتری بر روی سرمایهتون داشته باشین.
اگر به دنبال اطلاعات بیشتر و آموزشهای حرفهایتر در این زمینه هستین، پیشنهاد میکنم نگاهی به دوره شکارچیان طلا از آکادمی ماهان پهلوان بندازین. این دوره به شما کمک میکنه تا با روشهای هوشمندانهتری سرمایهگذاری کنین و از فرصتهای موجود در بازار طلا بهرهمند بشین. پس فراموش نکنین که با کمی تحقیق و یادگیری، میتونین بهترین انتخابها رو داشته باشین!
هرگونه سوال و یا مشکلی در دوره دارید در بخش پرسش و پاسخ از کارشناسان ما بپرسید.
برای ارسال پرسش ابتدا باید در سایت ثبت نام کنید
پرسش و پاسخ
آکادمی ماهان پهلوان از سال ۱۳۹۸ در زمینه آموزش بازار طلای آنلاین فعالیت داره. تا الان بیشتر از ۶۰ هزار نفر با کمک تیم ما با بازار طلا آشنا شدن و بیش از نیمی از اونها به موفقیتهای فوقالعادهای رسیدن.
دوره ها
دسته بندی دوره ها
مقالات
دسته بندی مقالات
اخبار
درباره ما
سوالات متداول
قوانین و مقررات
تهران خیابان ایت الله کاشانی روبه روی پارک زنبق طبقه ساختمان ارمیتا طبقه دو واحد 18
021-44000608/9
کلیه حقوق برای سایت ماهان پهلوان محفوظ هست
طراحی و توسعه با هلدینگ باریز